Docket #: S13-061
Brain machine interfaces incorporating learned dynamical structure in the brain
Millions of people are unable to move due to neurological injury or disease. Brain-machine interfaces seek to restore lost motor function to patients suffering such neurological deficits. Stanford researchers have discovered a way to provide a new class of brain-machine interface (BMI) algorithms to significantly improve performance over existing algorithms. These novel algorithms utilize learned dynamical structure in the brain for BMIs. This dynamical structure assumes an underlying lower-dimensional and latent state in the brain ("neural state"), which is the state of a dynamical system. If the dynamical structure is present in the brain, then decoding algorithms can leverage said structure to improve the performance of a BMI.

Figure 1 - BMI seek to restore lost motor function

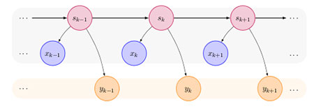
Figure 2 - An example graph theoretic implementation of a dynamical BMI. The BMI incorporates an underlying neural state, sk, which obeys dynamics and generates both the kinematics of the prosthetics device (xk) and the neural data observed (yk).
Applications
- Wide applications to the design and optimization of BMI algorithms, which allow the incorporation of fundamental knowledge of the dynamics of the evolution of neural state.
Advantages
- By incorporating information about the dynamics of an underlying brain state, the BMI's versatility, speed, and accuracy can be increased.
Publications
- Churchland MM*, Cunningham JP*, Kaufman MT, Foster JD, Nuyujukian P, Ryu SI, Shenoy KV (2012) "Neural population dynamics during reaching". Nature. 487:51-56.
- "Stanford researchers reveal more about how our brains control our arms". Stanford Report, January 28, 2014.
Related Links
Patents
- Published Application: 20140257520
- Issued: 9,095,455 (USA)
Similar Technologies
-
A Device to Control Peripheral Nervous Tissue Containing Light-Gated Channels S08-033A Device to Control Peripheral Nervous Tissue Containing Light-Gated Channels
-
Ultrasonic neuromodulation with Pattern Interference Radiation Force (PIRF) S16-382Ultrasonic neuromodulation with Pattern Interference Radiation Force (PIRF)
-
A brain-machine interface utilizing interventions on dimensionality-reduced data S13-175A brain-machine interface utilizing interventions on dimensionality-reduced data