Docket #: S21-089
Novel approach to make active and stable low-temperature hydrocarbon combustion catalysts
Stanford researchers have developed a novel approach to make a stable and active platinum-alumina catalyst that maintains high activity under harsh conditions. Precious metal catalysts, such as platinum (Pt) and palladium (Pd), are typically made in a form of small nanoparticles in order to create a large surface area for catalysis. However, these metal nanoparticles suffer from poor hydrothermal stability: under harsh conditions, the small nanoparticles grow into large crystallites with reduced surface area in a process called catalyst sintering and suffer loss of activity. Strategies to counter sintering often lead to activity-stability trade-offs.
Stanford researchers describe a new process to make a stable and active platinum-alumina catalyst that maintains high activity under harsh conditions. The metal nanoparticles are encapsulated inside porous alumina using nanocasting and maintain their small size (~3.8 nm) after hydrothermal aging at 800 ºC. This material has superior stability compared to conventional catalysts and is the first metal-alumina system that maintains high activity under harsh hydrothermal conditions (oxygen, steam). The researchers also extended the encapsulation technique to palladium-platinum alloys that demonstrate even better stability, maintaining stability and activity after hydrothermal aging at 1100 ºC. These materials would be useful in automotive applications like emission control technologies, given they represent the highest reported stability for supported noble metal catalysts.

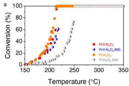
Figure (provided by inventors). Superior activity of catalyst with Pt nanoparticles encapsulated in porous alumina (Pt@Al2O3) compared to catalyst with Pt nanoparticles deposited on the alumina surface (Pt/Al2O3).
Stage Of Development
Proof of concept
Applications
- Development of stable and active catalysts for use in automotive catalytic converters or other emission control technologies
Advantages
- Superior hydrothermal stability
- Retains high activity
Publications
- Aitbekova, A., Zhou, C., Stone, M.L. et al. Templated encapsulation of platinum-based catalysts promotes high-temperature stability to 1,100?°C. Nat. Mater. (2022).
- Patrick, Chris, "Molecular cage protects precious metals in catalytic converters" in SLAC News 2022.
Related Links
Patents
- Published Application: 20230405559
Similar Technologies
-
Materials for low cost, scalable, thermochemical hydrogen production S16-325Materials for low cost, scalable, thermochemical hydrogen production
-
Method for enhanced microbial electrosynthesis by using defined co-cultures S15-463Method for enhanced microbial electrosynthesis by using defined co-cultures
-
Nanocarbon/Inorganic Nanoparticle Hybrid Materials for Energy Storage and Fuel Cells S09-371Nanocarbon/Inorganic Nanoparticle Hybrid Materials for Energy Storage and Fuel Cells